Официальное опубликование правовых актов
ОФИЦИАЛЬНОЕ ОПУБЛИКОВАНИЕ
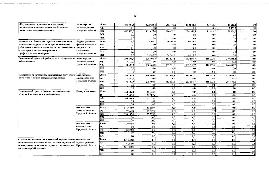
Постановление Правительства Иркутской области от 08.06.2023 № 481-пп
"О внесении изменений в приложения 7, 9, 10 к государственной программе Иркутской области «Развитие здравоохранения» на 2019 - 2025 годы"
Номер опубликования: 3800202306140003
Дата опубликования: 14.06.2023
Страница №44 из 50:
Увеличить