Официальное опубликование правовых актов
ОФИЦИАЛЬНОЕ ОПУБЛИКОВАНИЕ
Постановление Правительства Иркутской области от 19.05.2023 № 419-пп
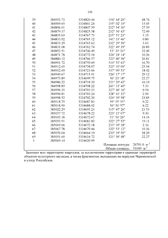
"Об установлении единой охранной зоны объектов культурного наследия (памятников истории и культуры) народов Российской Федерации, единой зоны регулирования застройки и хозяйственной деятельности и единой зоны охраняемого природного ландшафта в границах городского округа муниципального образования город Иркутск, утверждении требований к градостроительным регламентам в границах территорий данных зон и о внесении изменений в постановление администрации Иркутской области от 12 сентября 2008 года № 254-па"
Номер опубликования: 3800202305240001
Дата опубликования: 24.05.2023
Страница №129 из 800:
Увеличить