Официальное опубликование правовых актов
ОФИЦИАЛЬНОЕ ОПУБЛИКОВАНИЕ
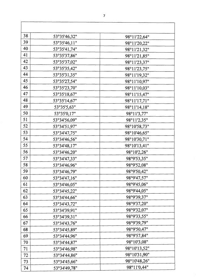
Указ Губернатора Иркутской области от 11.05.2023 № 139-уг
"Об охранной зоне памятника природы регионального значения "Удинские пороги"
Номер опубликования: 3800202305170009
Дата опубликования: 17.05.2023
Страница №8 из 12:
Увеличить