Официальное опубликование правовых актов
ОФИЦИАЛЬНОЕ ОПУБЛИКОВАНИЕ
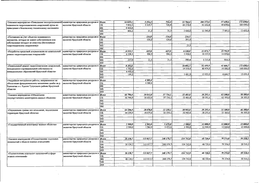
Постановление Правительства Иркутской области от 15.05.2023 № 407-пп
"О внесении изменений в государственную программу Иркутской области "Охрана окружающей среды" на 2019 – 2025 годы"
Номер опубликования: 3800202305170004
Дата опубликования: 17.05.2023
Страница №73 из 78:
Увеличить