Официальное опубликование правовых актов
ОФИЦИАЛЬНОЕ ОПУБЛИКОВАНИЕ
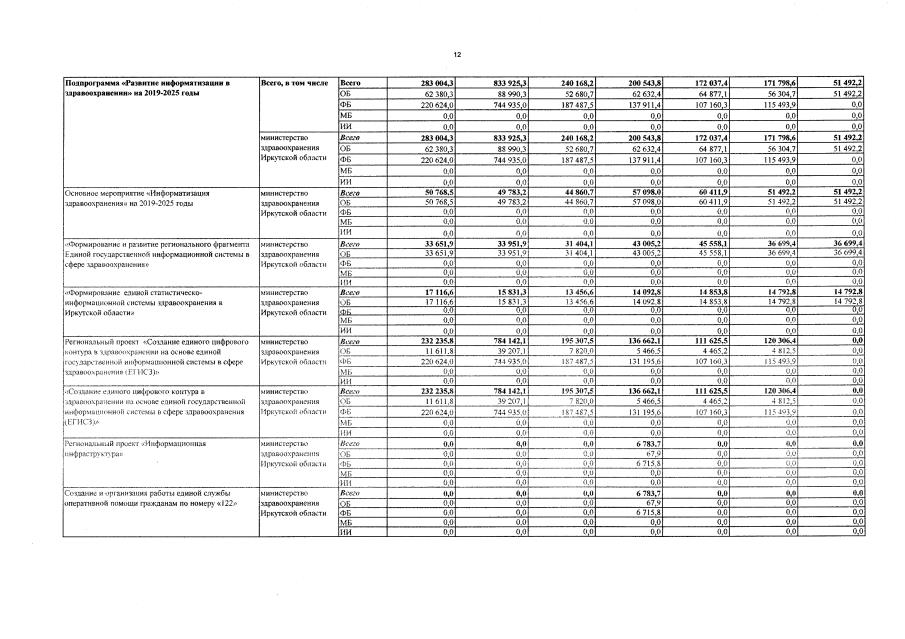
Постановление Правительства Иркутской области от 25.04.2023 № 359-пп
"О внесении изменений в государственную программу Иркутской области "Развитие здравоохранения" на 2019 - 2025 годы"
Номер опубликования: 3800202304270002
Дата опубликования: 27.04.2023
Страница №40 из 60:
Увеличить