Официальное опубликование правовых актов
ОФИЦИАЛЬНОЕ ОПУБЛИКОВАНИЕ
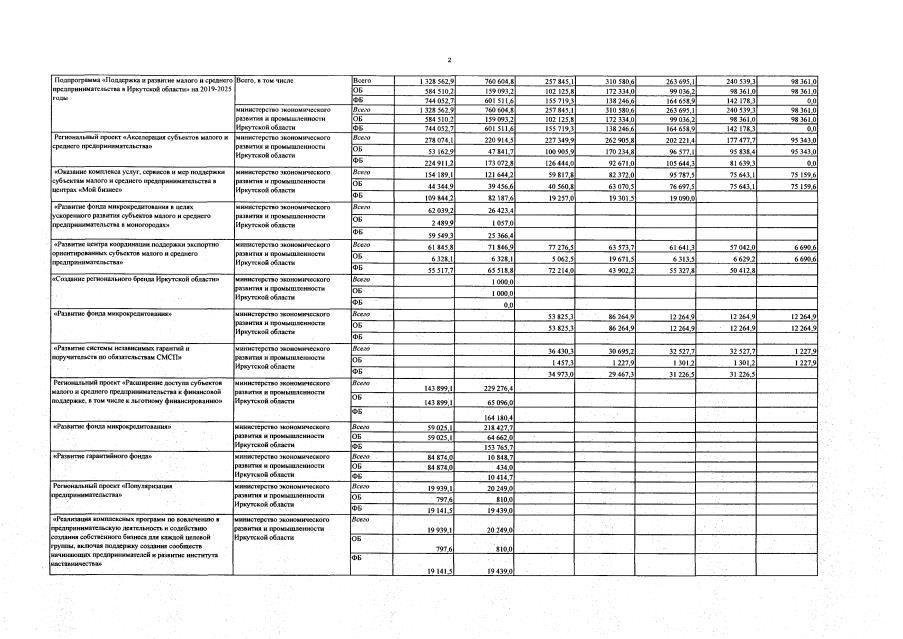
Постановление Правительства Иркутской области от 20.04.2023 № 340-пп
"О внесении изменений в государственную программу Иркутской области "Экономическое развитие и инновационная экономика" на 2019 – 2025 годы"
Номер опубликования: 3800202304250012
Дата опубликования: 25.04.2023
Страница №10 из 48:
Увеличить