Официальное опубликование правовых актов
ОФИЦИАЛЬНОЕ ОПУБЛИКОВАНИЕ
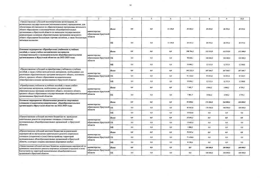
Постановление Правительства Иркутской области от 19.04.2023 № 335-пп
"О внесении изменений в государственную программу Иркутской области "Развитие образования" на 2019 - 2025 годы"
Номер опубликования: 3800202304210002
Дата опубликования: 21.04.2023
Страница №74 из 135:
Увеличить