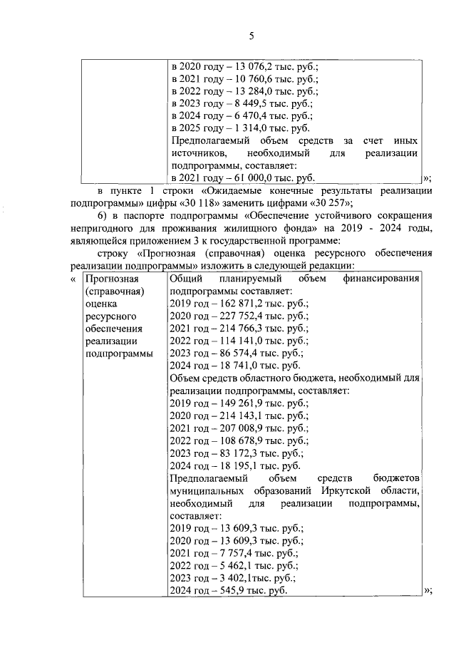
Постановление Правительства Иркутской области от 13.04.2023 № 326-пп
"О внесении изменений в государственную программу Иркутской области "Доступное жилье" на 2019 - 2025 годы"
"О внесении изменений в государственную программу Иркутской области "Доступное жилье" на 2019 - 2025 годы"
Номер опубликования: 3800202304170007
Дата опубликования:
17.04.2023
