Официальное опубликование правовых актов
ОФИЦИАЛЬНОЕ ОПУБЛИКОВАНИЕ
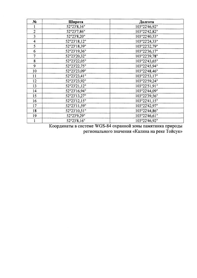
Указ Губернатора Иркутской области от 10.04.2023 № 102-уг
"Об охранной зоне памятника природы регионального значения "Калина на реке Тойсук"
Номер опубликования: 3800202304120005
Дата опубликования: 12.04.2023
Страница №6 из 9:
Увеличить