Официальное опубликование правовых актов
ОФИЦИАЛЬНОЕ ОПУБЛИКОВАНИЕ
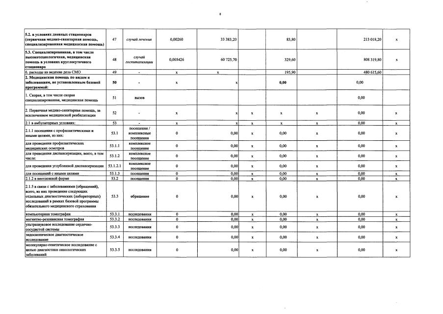
Постановление Правительства Иркутской области от 05.04.2023 № 294-пп
"О внесении изменений в Территориальную программу государственных гарантий бесплатного оказания гражданам медицинской помощи в Иркутской области на 2023 год и на плановый период 2024 и 2025 годов"
Номер опубликования: 3800202304060004
Дата опубликования: 06.04.2023
Страница №12 из 28:
Увеличить