Официальное опубликование правовых актов
ОФИЦИАЛЬНОЕ ОПУБЛИКОВАНИЕ
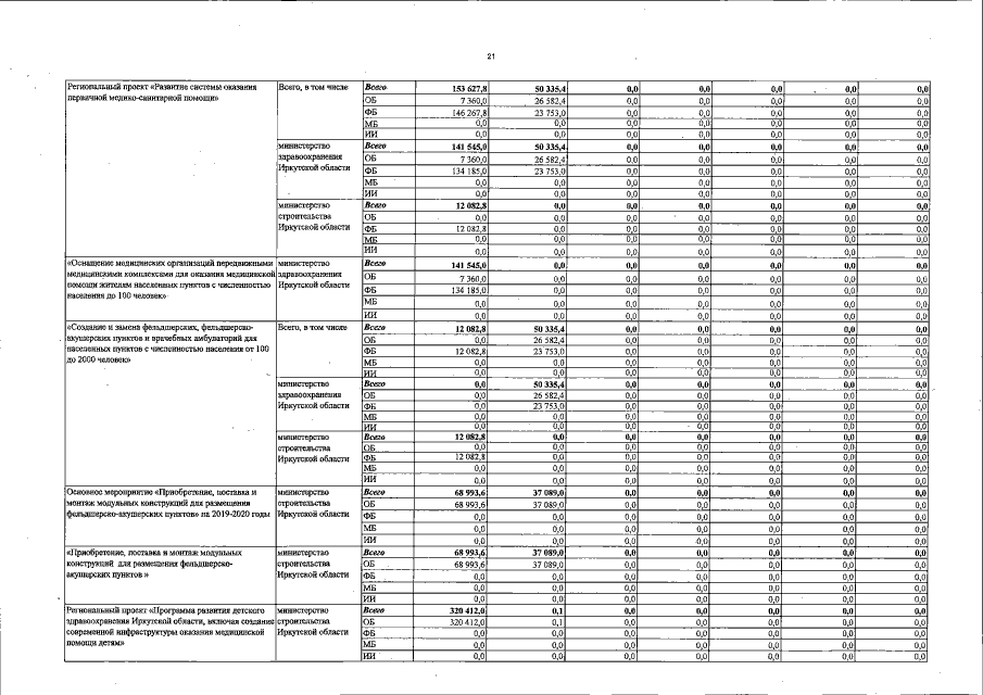
Постановление Правительства Иркутской области от 28.03.2023 № 267-пп
"О внесении изменений в государственную программу Иркутской области "Развитие здравоохранения" на 2019 - 2025 годы"
Номер опубликования: 3800202304030005
Дата опубликования: 03.04.2023
Страница №48 из 58:
Увеличить