Официальное опубликование правовых актов
ОФИЦИАЛЬНОЕ ОПУБЛИКОВАНИЕ
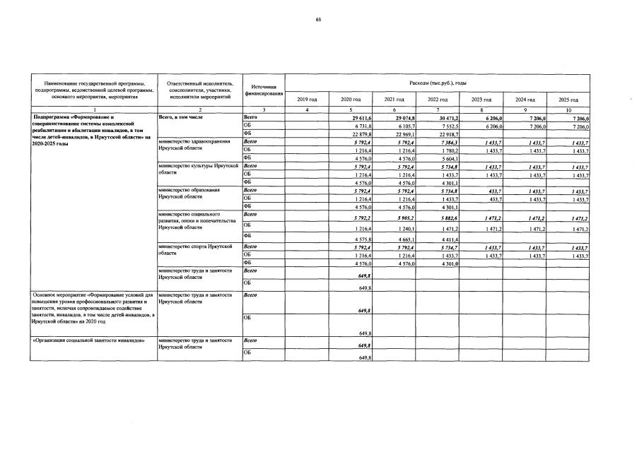
Постановление Правительства Иркутской области от 21.03.2023 № 236-пп
"О внесении изменений в государственную программу Иркутской области "Социальная поддержка населения" на 2019 - 2025 годы"
Номер опубликования: 3800202303230010
Дата опубликования: 23.03.2023
Страница №71 из 146:
Увеличить