Официальное опубликование правовых актов
ОФИЦИАЛЬНОЕ ОПУБЛИКОВАНИЕ
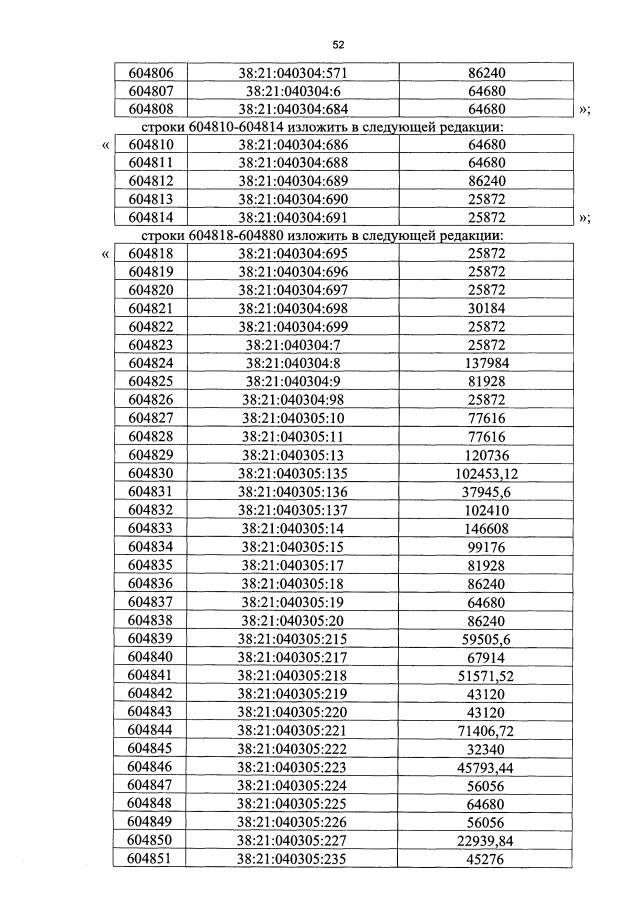
Постановление Правительства Иркутской области от 17.03.2023 № 224-пп
"О внесении изменений в результаты определения кадастровой стоимости земельных участков, учтенных в Едином государственном реестре недвижимости на территории Иркутской области, по кадастровым номерам земельных участков по состоянию на 1 января 2022 года"
Номер опубликования: 3800202303200009
Дата опубликования: 20.03.2023
Страница №52 из 113:
Увеличить