Официальное опубликование правовых актов
ОФИЦИАЛЬНОЕ ОПУБЛИКОВАНИЕ
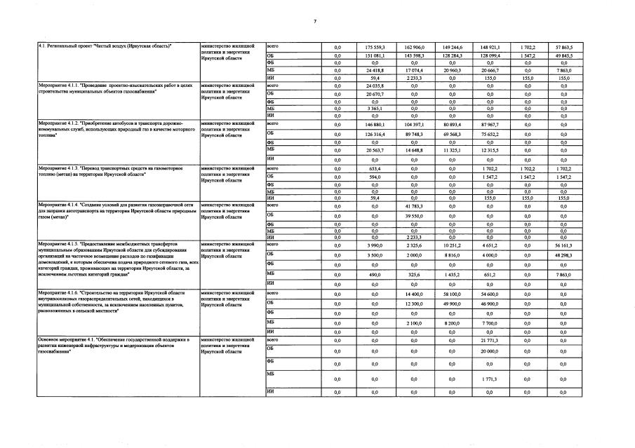
Постановление Правительства Иркутской области от 28.02.2023 № 150-пп
"О внесении изменений в государственную программу Иркутской области "Развитие жилищно-коммунального хозяйства и повышение энергоэффективности Иркутской области" на 2019 - 2025 годы"
Номер опубликования: 3800202303030006
Дата опубликования: 03.03.2023
Страница №88 из 94:
Увеличить