Официальное опубликование правовых актов
ОФИЦИАЛЬНОЕ ОПУБЛИКОВАНИЕ
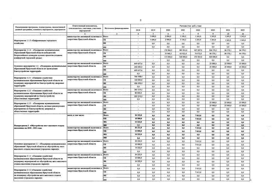
Постановление Правительства Иркутской области от 28.02.2023 № 149-пп
"О внесении изменений в государственную программу Иркутской области "Формирование современной городской среды" на 2018 – 2025 годы"
Номер опубликования: 3800202303020005
Дата опубликования: 02.03.2023
Страница №7 из 10:
Увеличить