Официальное опубликование правовых актов
ОФИЦИАЛЬНОЕ ОПУБЛИКОВАНИЕ
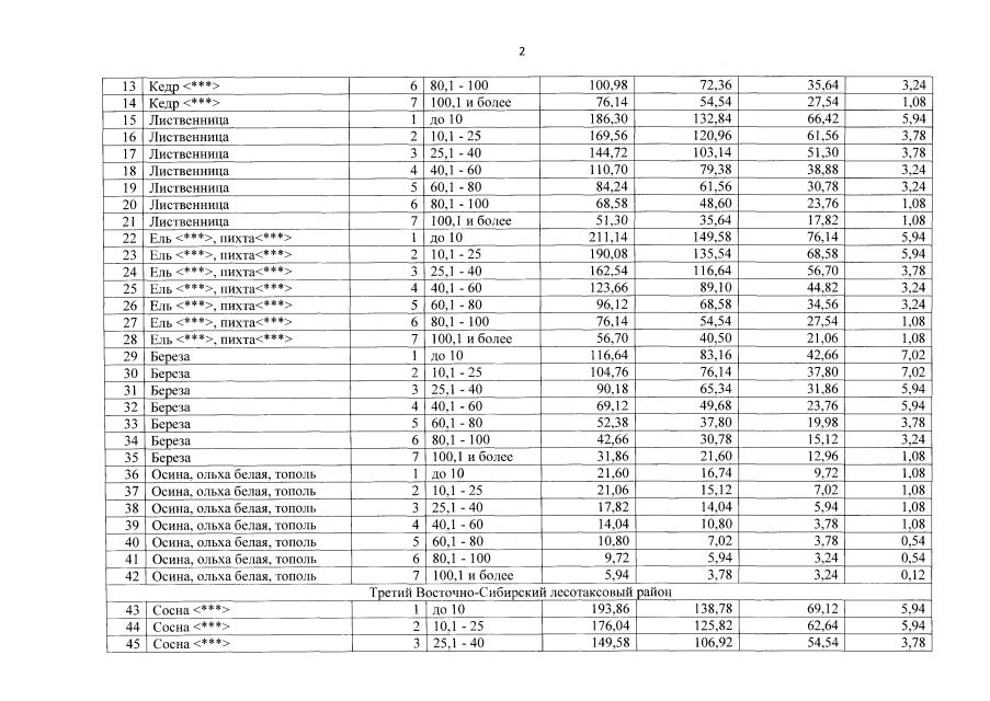
Постановление Правительства Иркутской области от 27.02.2023 № 138-пп
"О внесении изменения в приложение к постановлению администрации Иркутской области от 29 декабря 2007 года № 304-па"
Номер опубликования: 3800202303010018
Дата опубликования: 01.03.2023
Страница №3 из 10:
Увеличить