Официальное опубликование правовых актов
ОФИЦИАЛЬНОЕ ОПУБЛИКОВАНИЕ
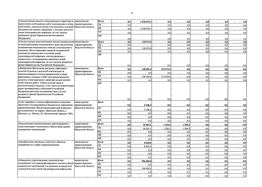
Постановление Правительства Иркутской области от 27.02.2023 № 139-пп
"О внесении изменений в государственную программу Иркутской области "Развитие здравоохранения" на 2019 – 2025 годы"
Номер опубликования: 3800202303010008
Дата опубликования: 01.03.2023
Страница №35 из 45:
Увеличить