Официальное опубликование правовых актов
ОФИЦИАЛЬНОЕ ОПУБЛИКОВАНИЕ
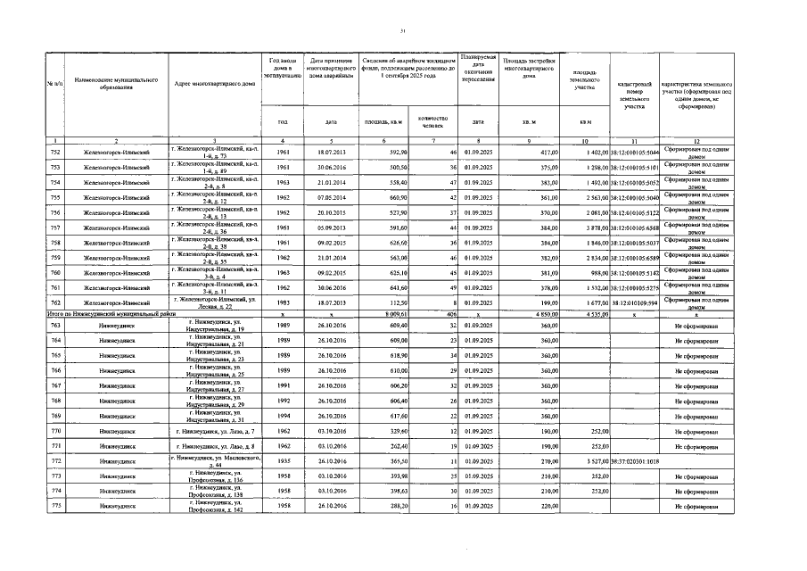
Постановление Правительства Иркутской области от 21.02.2023 № 131-пп
"О внесении изменений в региональную адресную программу Иркутской области "Переселение граждан, проживающих на территории Иркутской области, из аварийного жилищного фонда, признанного таковым до 1 января 2017 года, в 2019 - 2025 годах"
Номер опубликования: 3800202302280002
Дата опубликования: 28.02.2023
Страница №35 из 55:
Увеличить