Официальное опубликование правовых актов
ОФИЦИАЛЬНОЕ ОПУБЛИКОВАНИЕ
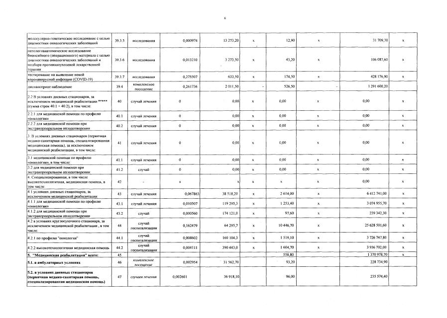
Постановление Правительства Иркутской области от 21.02.2023 № 126-пп
"О внесении изменений в Территориальную программу государственных гарантий бесплатного оказания гражданам медицинской помощи в Иркутской области на 2023 год и на плановый период 2024 и 2025 годов"
Номер опубликования: 3800202302270002
Дата опубликования: 27.02.2023
Страница №61 из 74:
Увеличить