Официальное опубликование правовых актов
ОФИЦИАЛЬНОЕ ОПУБЛИКОВАНИЕ
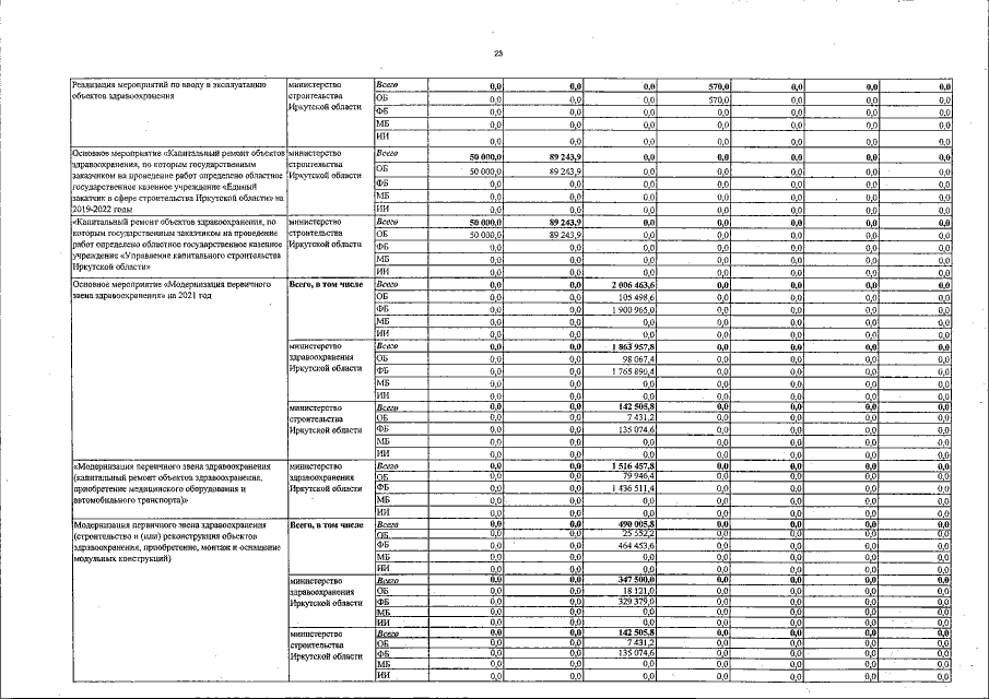
Постановление Правительства Иркутской области от 13.02.2023 № 95-пп
"О внесении изменений в государственную программу Иркутской области "Развитие здравоохранения" на 2019 - 2025 годы"
Номер опубликования: 3800202302140005
Дата опубликования: 14.02.2023
Страница №41 из 50:
Увеличить