Официальное опубликование правовых актов
ОФИЦИАЛЬНОЕ ОПУБЛИКОВАНИЕ
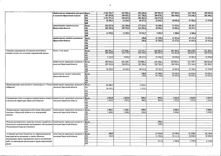
Постановление Правительства Иркутской области от 09.02.2023 № 82-пп
"О внесении изменений в государственную программу Иркутской области "Охрана окружающей среды" на 2019 – 2025 годы"
Номер опубликования: 3800202302100005
Дата опубликования: 10.02.2023
Страница №52 из 62:
Увеличить