Указ Губернатора Иркутской области от 09.02.2023 № 44-уг
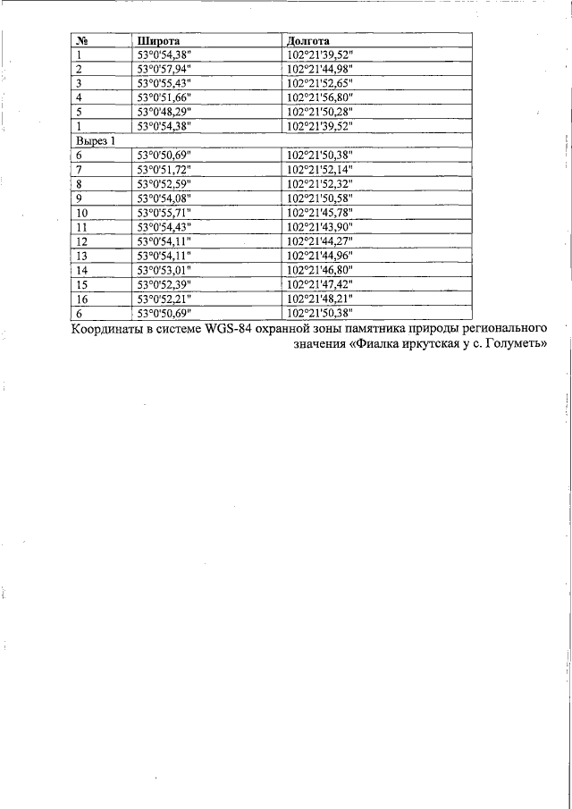
"Об охранной зоне памятника природы регионального значения "Фиалка иркутская у с. Голуметь"
"Об охранной зоне памятника природы регионального значения "Фиалка иркутская у с. Голуметь"
Номер опубликования: 3800202302100004
Дата опубликования:
10.02.2023
