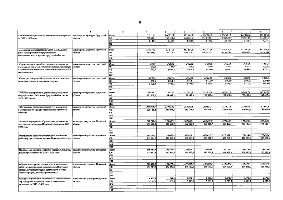
Постановление Правительства Иркутской области от 03.02.2023 № 67-пп
"О внесении изменений в государственную программу Иркутской области "Развитие культуры" на 2019 - 2025 годы"
"О внесении изменений в государственную программу Иркутской области "Развитие культуры" на 2019 - 2025 годы"
Номер опубликования: 3800202302100002
Дата опубликования:
10.02.2023
