Официальное опубликование правовых актов
ОФИЦИАЛЬНОЕ ОПУБЛИКОВАНИЕ
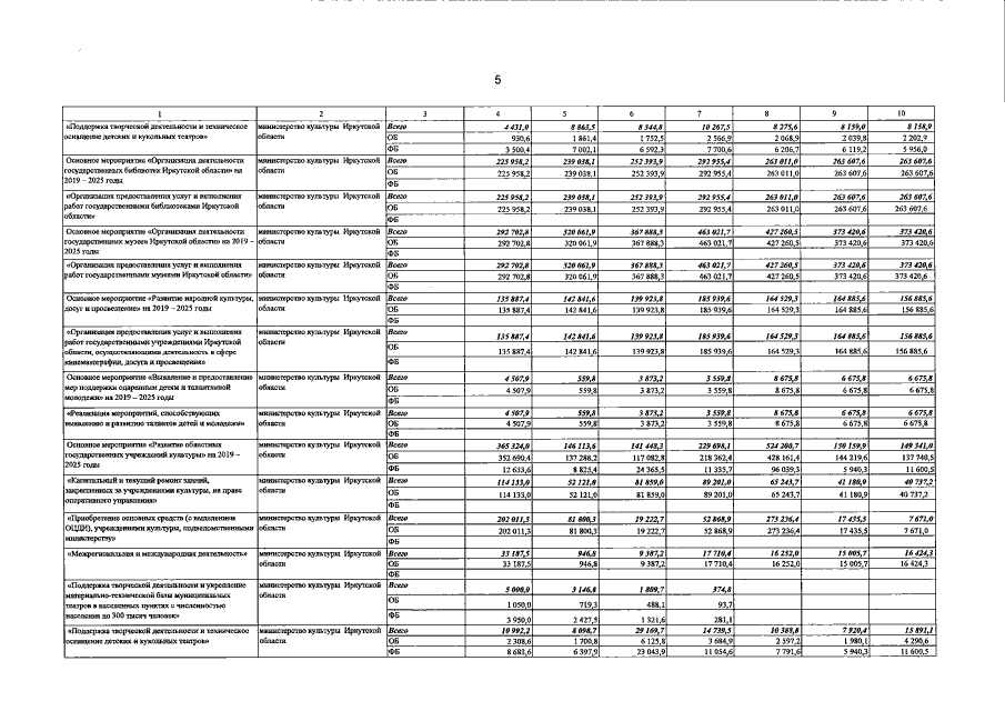
Постановление Правительства Иркутской области от 03.02.2023 № 67-пп
"О внесении изменений в государственную программу Иркутской области "Развитие культуры" на 2019 - 2025 годы"
Номер опубликования: 3800202302100002
Дата опубликования: 10.02.2023
Страница №33 из 67:
Увеличить