Указ Губернатора Иркутской области от 20.01.2023 № 20-уг
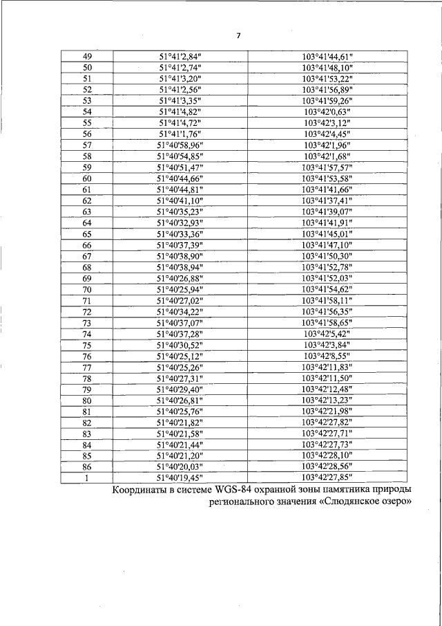
"Об охранной зоне памятника природы регионального значения "Слюдянское озеро"
"Об охранной зоне памятника природы регионального значения "Слюдянское озеро"
Номер опубликования: 3800202301200010
Дата опубликования:
20.01.2023
