Официальное опубликование правовых актов
ОФИЦИАЛЬНОЕ ОПУБЛИКОВАНИЕ
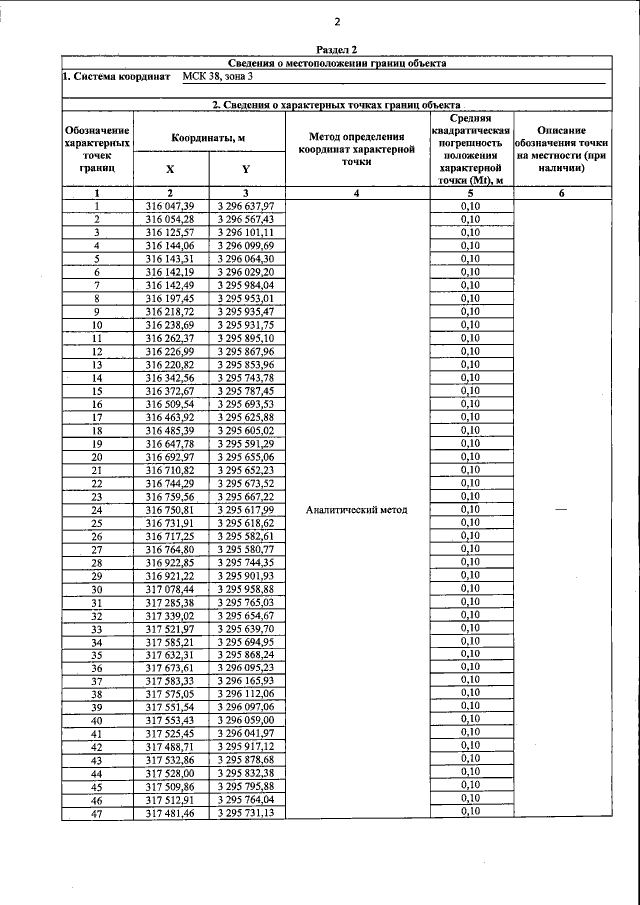
Указ Губернатора Иркутской области от 20.01.2023 № 20-уг
"Об охранной зоне памятника природы регионального значения "Слюдянское озеро"
Номер опубликования: 3800202301200010
Дата опубликования: 20.01.2023
Страница №3 из 11:
Увеличить