Официальное опубликование правовых актов
ОФИЦИАЛЬНОЕ ОПУБЛИКОВАНИЕ
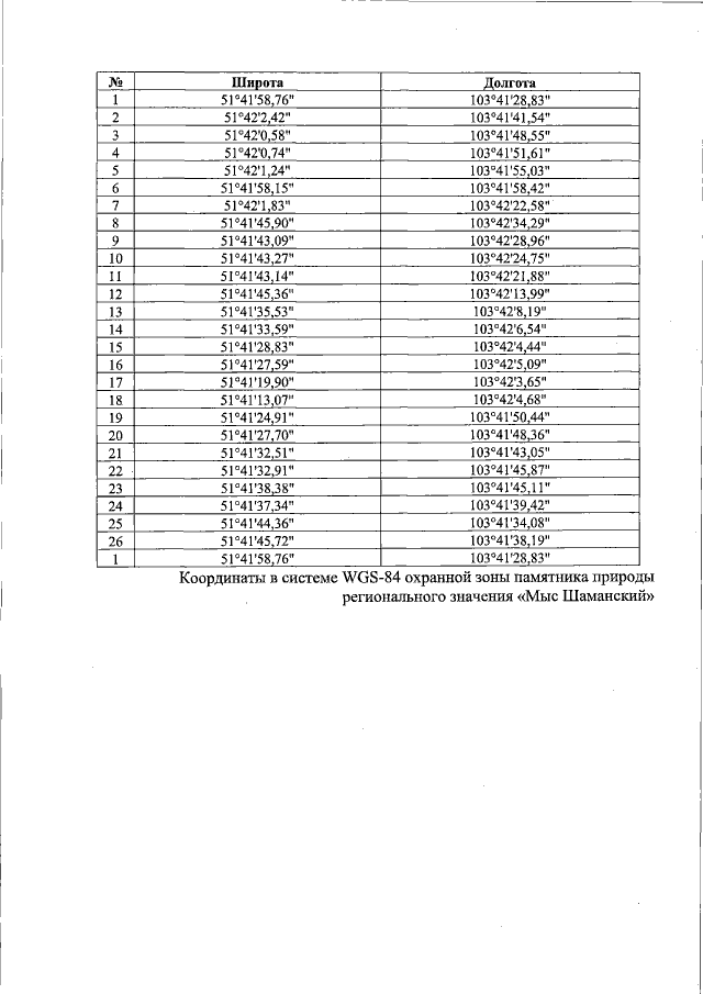
Указ Губернатора Иркутской области от 20.01.2023 № 19-уг
"Об охранной зоне памятника природы регионального значения "Мыс Шаманский"
Номер опубликования: 3800202301200005
Дата опубликования: 20.01.2023
Страница №6 из 10:
Увеличить