Указ Губернатора Иркутской области от 12.01.2023 № 12-уг
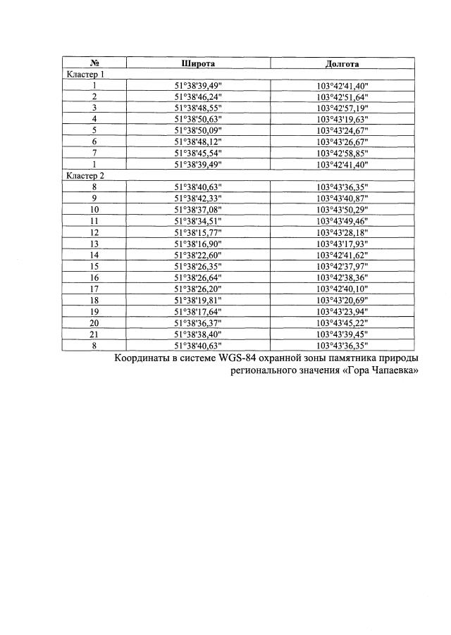
"Об охранной зоне памятника природы регионального значения "Гора Чапаевка"
"Об охранной зоне памятника природы регионального значения "Гора Чапаевка"
Номер опубликования: 3800202301130003
Дата опубликования:
13.01.2023
