Официальное опубликование правовых актов
ОФИЦИАЛЬНОЕ ОПУБЛИКОВАНИЕ
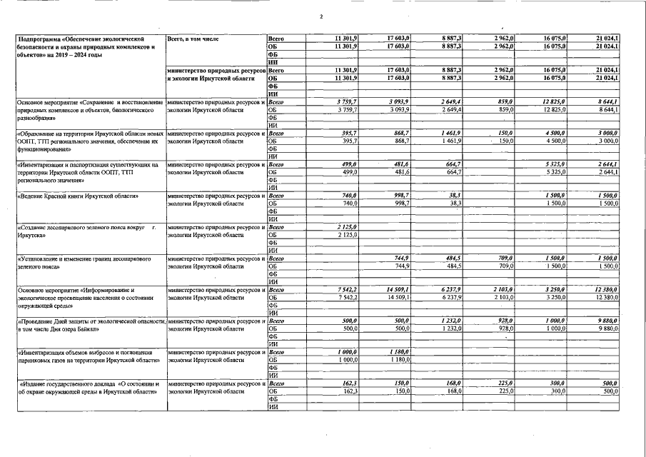
Постановление Правительства Иркутской области от 30.12.2022 № 1116-пп
"О внесении изменений в государственную программу Иркутской области "Охрана окружающей среды" на 2019 – 2024 годы"
Номер опубликования: 3800202301040001
Дата опубликования: 04.01.2023
Страница №28 из 52:
Увеличить