Официальное опубликование правовых актов
ОФИЦИАЛЬНОЕ ОПУБЛИКОВАНИЕ
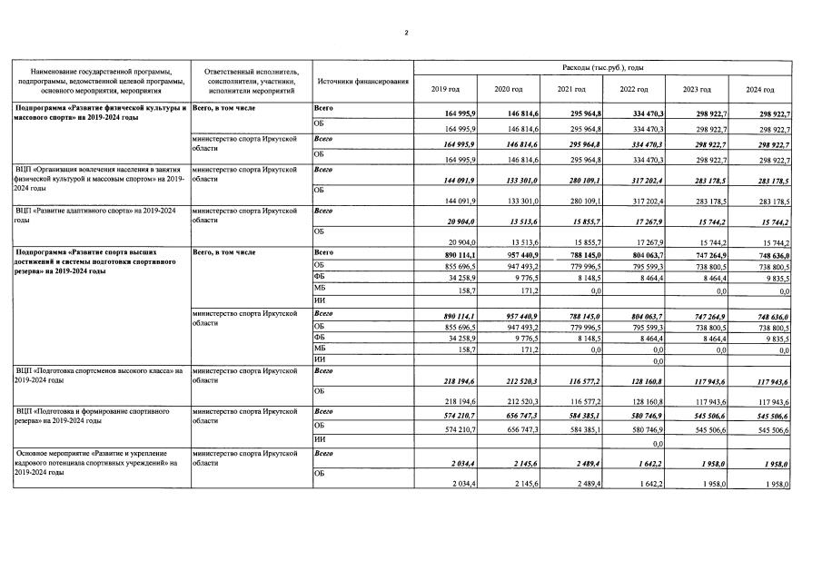
Постановление Правительства Иркутской области от 29.12.2022 № 1093-пп
"О внесении изменений в государственную программу Иркутской области "Развитие физической культуры и спорта" на 2019 - 2024 годы"
Номер опубликования: 3800202212290041
Дата опубликования: 29.12.2022
Страница №35 из 43:
Увеличить