Официальное опубликование правовых актов
ОФИЦИАЛЬНОЕ ОПУБЛИКОВАНИЕ
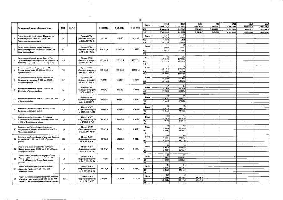
Постановление Правительства Иркутской области от 13.12.2022 № 996-пп
"О внесении изменений в государственную программу Иркутской области "Развитие дорожного хозяйства и сети искусственных сооружений" на 2019-2024 годы"
Номер опубликования: 3800202212200020
Дата опубликования: 20.12.2022
Страница №7 из 97:
Увеличить