Официальное опубликование правовых актов
ОФИЦИАЛЬНОЕ ОПУБЛИКОВАНИЕ
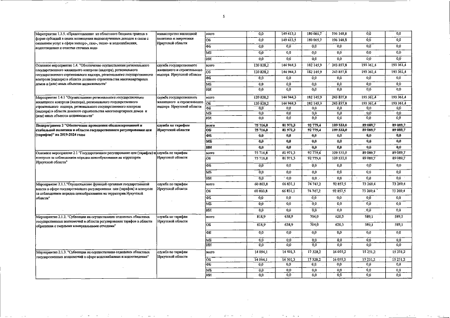
Постановление Правительства Иркутской области от 13.12.2022 № 991-пп
"О внесении изменений в отдельные постановления Правительства Иркутской области"
Номер опубликования: 3800202212200008
Дата опубликования: 20.12.2022
Страница №64 из 76:
Увеличить