Официальное опубликование правовых актов
ОФИЦИАЛЬНОЕ ОПУБЛИКОВАНИЕ
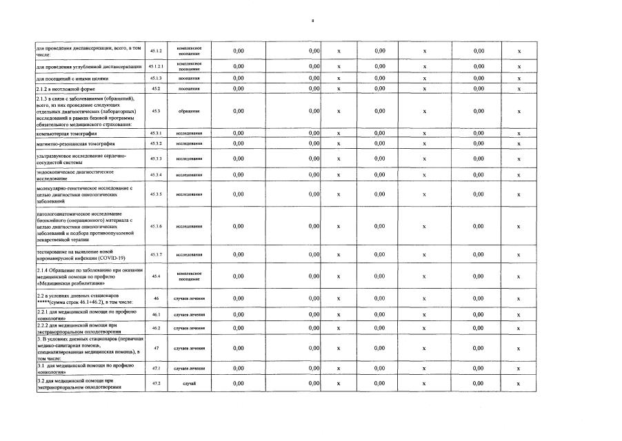
Постановление Правительства Иркутской области от 05.12.2022 № 950-пп
"О внесении изменений в Территориальную программу государственных гарантий бесплатного оказания гражданам медицинской помощи в Иркутской области на 2022 год и на плановый период 2023 и 2024 годов"
Номер опубликования: 3800202212080003
Дата опубликования: 08.12.2022
Страница №14 из 17:
Увеличить