Официальное опубликование правовых актов
ОФИЦИАЛЬНОЕ ОПУБЛИКОВАНИЕ
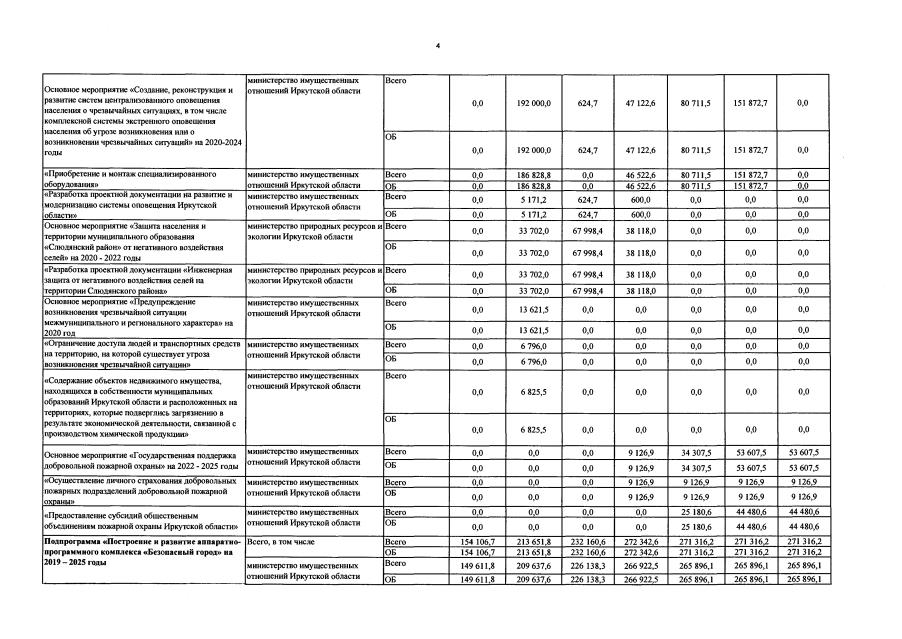
Постановление Правительства Иркутской области от 06.12.2022 № 953-пп
"О внесении изменений в постановление Правительства Иркутской области от 6 ноября 2018 года № 814-пп"
Номер опубликования: 3800202212080001
Дата опубликования: 08.12.2022
Страница №27 из 65:
Увеличить