Официальное опубликование правовых актов
ОФИЦИАЛЬНОЕ ОПУБЛИКОВАНИЕ
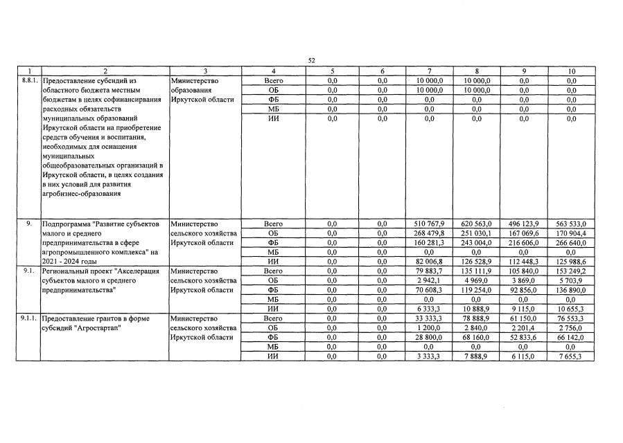
Постановление Правительства Иркутской области от 01.12.2022 № 940-пп
"О внесении изменений в государственную программу Иркутской области "Развитие сельского хозяйства и регулирование рынков сельскохозяйственной продукции, сырья и продовольствия" на 2019 - 2024 годы"
Номер опубликования: 3800202212050002
Дата опубликования: 05.12.2022
Страница №108 из 110:
Увеличить