Официальное опубликование правовых актов
ОФИЦИАЛЬНОЕ ОПУБЛИКОВАНИЕ
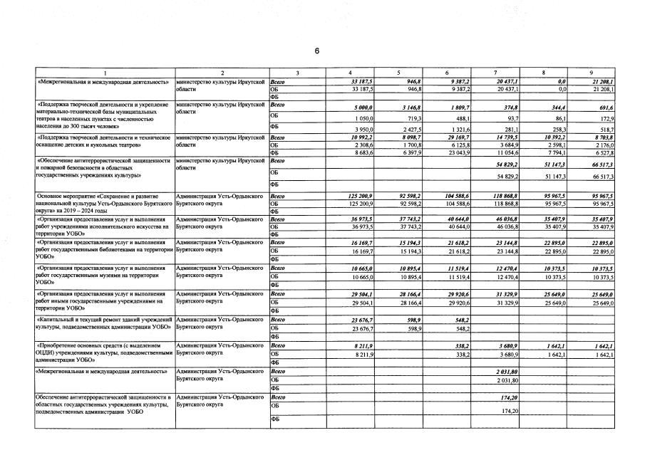
Постановление Правительства Иркутской области от 29.11.2022 № 929-пп
"О внесении изменений в государственную программу Иркутской области "Развитие культуры" на 2019 - 2024 годы"
Номер опубликования: 3800202212050001
Дата опубликования: 05.12.2022
Страница №26 из 59:
Увеличить