Официальное опубликование правовых актов
ОФИЦИАЛЬНОЕ ОПУБЛИКОВАНИЕ
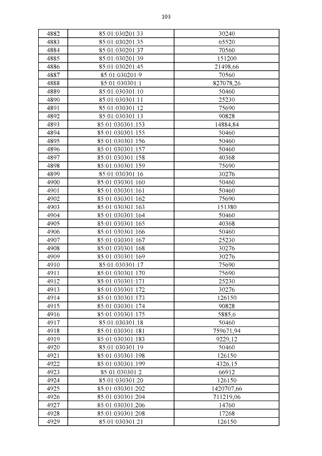
Постановление Правительства Иркутской области от 25.11.2022 № 924-пп
"Об утверждении результатов определения кадастровой стоимости земельных участков по кадастровым номерам и средних уровней кадастровой стоимости земельных участков по муниципальным районам и городским округам на территории Иркутской области"
Номер опубликования: 3800202211300002
Дата опубликования: 30.11.2022
Страница №104 из 17819:
Увеличить