Официальное опубликование правовых актов
ОФИЦИАЛЬНОЕ ОПУБЛИКОВАНИЕ
Постановление Правительства Иркутской области от 23.11.2022 № 914-пп
"О внесении изменений в постановление Правительства Иркутской области от 27 ноября 2018 года № 861-пп"
Номер опубликования: 3800202211280003
Дата опубликования: 28.11.2022
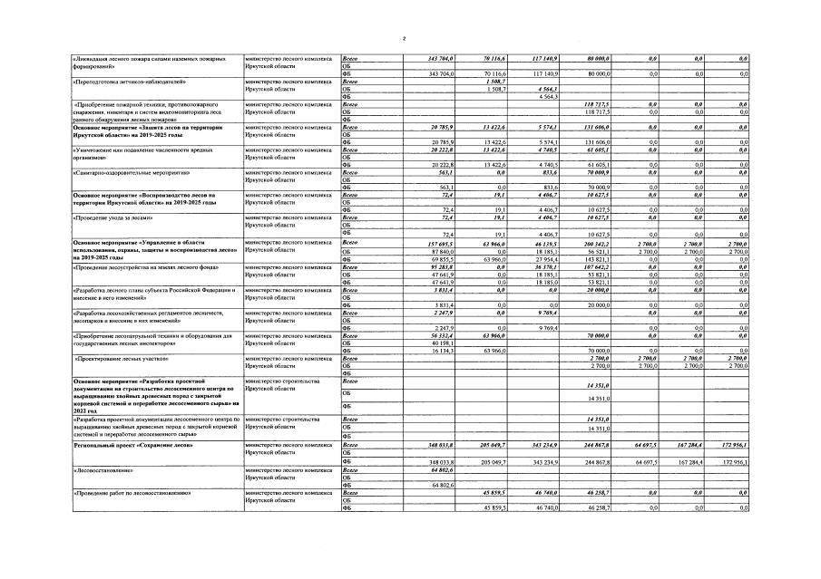
Страница №28 из 33:
Увеличить