Официальное опубликование правовых актов
ОФИЦИАЛЬНОЕ ОПУБЛИКОВАНИЕ
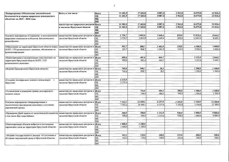
Постановление Правительства Иркутской области от 23.11.2022 № 915-пп
"О внесении изменений в приложения 9, 10 к государственной программе Иркутской области "Охрана окружающей среды" на 2019 – 2024 годы"
Номер опубликования: 3800202211240001
Дата опубликования: 24.11.2022
Страница №3 из 28:
Увеличить