Официальное опубликование правовых актов
ОФИЦИАЛЬНОЕ ОПУБЛИКОВАНИЕ
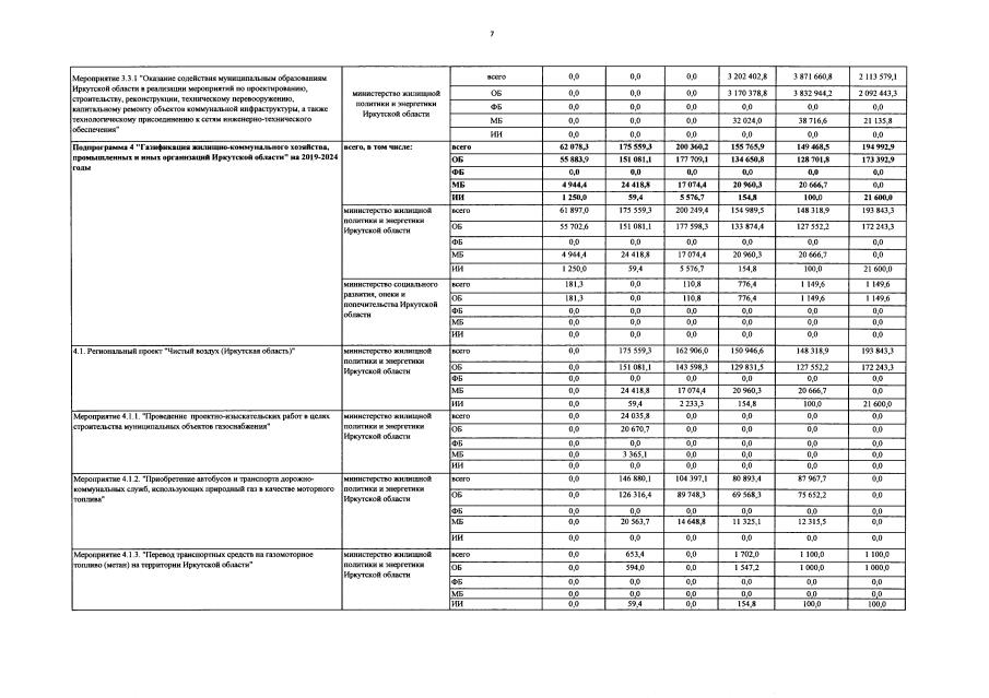
Постановление Правительства Иркутской области от 22.11.2022 № 911-пп
"О внесении изменений в государственную программу Иркутской области "Развитие жилищно-коммунального хозяйства и повышение энергоэффективности Иркутской области" на 2019 - 2024 годы"
Номер опубликования: 3800202211230008
Дата опубликования: 23.11.2022
Страница №29 из 36:
Увеличить