Официальное опубликование правовых актов
ОФИЦИАЛЬНОЕ ОПУБЛИКОВАНИЕ
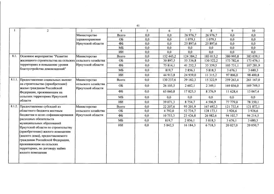
Постановление Правительства Иркутской области от 18.11.2022 № 897-пп
"О внесении изменений в государственную программу Иркутской области "Развитие сельского хозяйства и регулирование рынков сельскохозяйственной продукции, сырья и продовольствия" на 2019-2024 годы"
Номер опубликования: 3800202211220003
Дата опубликования: 22.11.2022
Страница №146 из 160:
Увеличить