Официальное опубликование правовых актов
ОФИЦИАЛЬНОЕ ОПУБЛИКОВАНИЕ
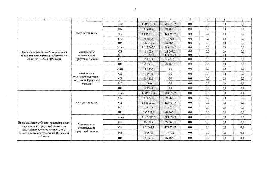
Постановление Правительства Иркутской области от 15.11.2022 № 882-пп
"Об утверждении государственной программы Иркутской области "Комплексное развитие сельских территорий" на 2023 - 2028 годы"
Номер опубликования: 3800202211170001
Дата опубликования: 17.11.2022
Страница №53 из 59:
Увеличить