Официальное опубликование правовых актов
ОФИЦИАЛЬНОЕ ОПУБЛИКОВАНИЕ
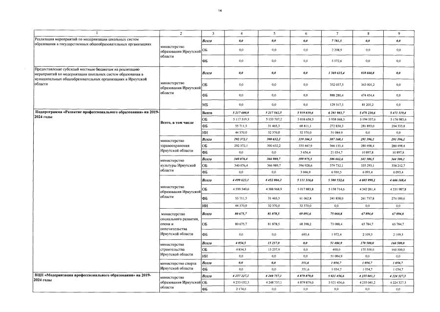
Постановление Правительства Иркутской области от 15.11.2022 № 881-пп
"О внесении изменений в государственную программу Иркутской области "Развитие образования" на 2019 - 2024 годы"
Номер опубликования: 3800202211160001
Дата опубликования: 16.11.2022
Страница №89 из 129:
Увеличить