Официальное опубликование правовых актов
ОФИЦИАЛЬНОЕ ОПУБЛИКОВАНИЕ
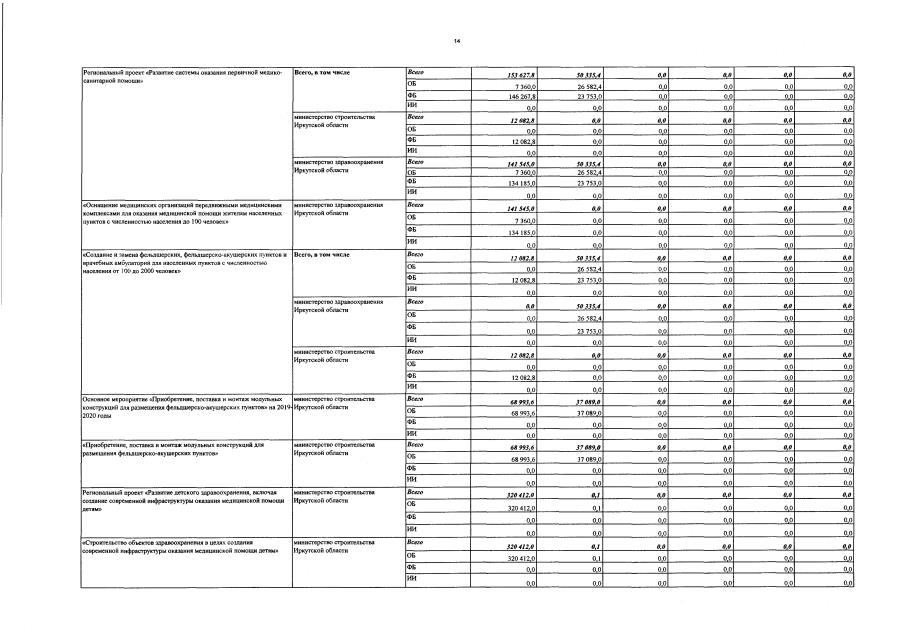
Постановление Правительства Иркутской области от 11.11.2022 № 876-пп
"О внесении изменений в государственную программу Иркутской области "Развитие здравоохранения" на 2019 - 2024 годы"
Номер опубликования: 3800202211150004
Дата опубликования: 15.11.2022
Страница №19 из 59:
Увеличить