Официальное опубликование правовых актов
ОФИЦИАЛЬНОЕ ОПУБЛИКОВАНИЕ
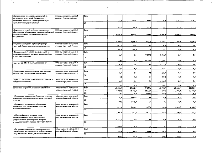
Постановление Правительства Иркутской области от 08.11.2022 № 859-пп
"О внесении изменений в государственную программу Иркутской области "Молодежная политика" на 2019 - 2024 годы"
Номер опубликования: 3800202211100009
Дата опубликования: 10.11.2022
Страница №8 из 38:
Увеличить