Официальное опубликование правовых актов
ОФИЦИАЛЬНОЕ ОПУБЛИКОВАНИЕ
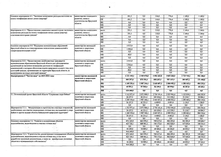
Постановление Правительства Иркутской области от 27.09.2022 № 742-пп
"О внесении изменений в отдельные государственные программы Иркутской области"
Номер опубликования: 3800202210030006
Дата опубликования: 03.10.2022
Страница №157 из 162:
Увеличить