Официальное опубликование правовых актов
ОФИЦИАЛЬНОЕ ОПУБЛИКОВАНИЕ
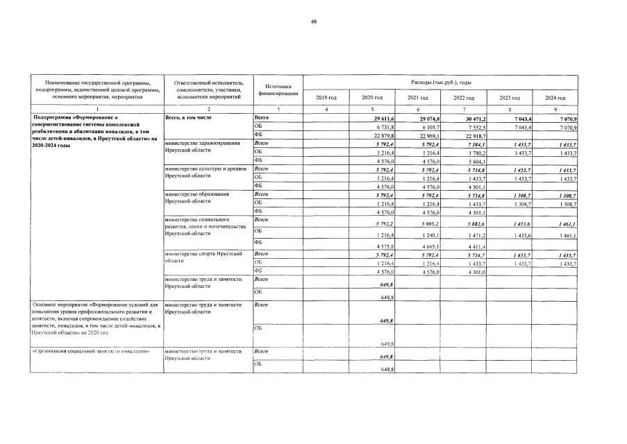
Постановление Правительства Иркутской области от 19.09.2022 № 722-пп
"О внесении изменений в государственную программу Иркутской области "Социальная поддержка населения" на 2019 - 2024 годы"
Номер опубликования: 3800202209220001
Дата опубликования: 22.09.2022
Страница №102 из 185:
Увеличить