Официальное опубликование правовых актов
ОФИЦИАЛЬНОЕ ОПУБЛИКОВАНИЕ
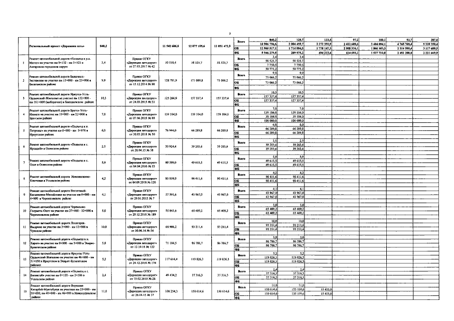
Постановление Правительства Иркутской области от 05.05.2022 № 352-пп
"О внесении изменений в государственную программу Иркутской области "Развитие дорожного хозяйства и сети искусственных сооружений" на 2019 – 2024 годы"
Номер опубликования: 3800202205110004
Дата опубликования: 11.05.2022
Страница №8 из 99:
Увеличить