Официальное опубликование правовых актов
ОФИЦИАЛЬНОЕ ОПУБЛИКОВАНИЕ
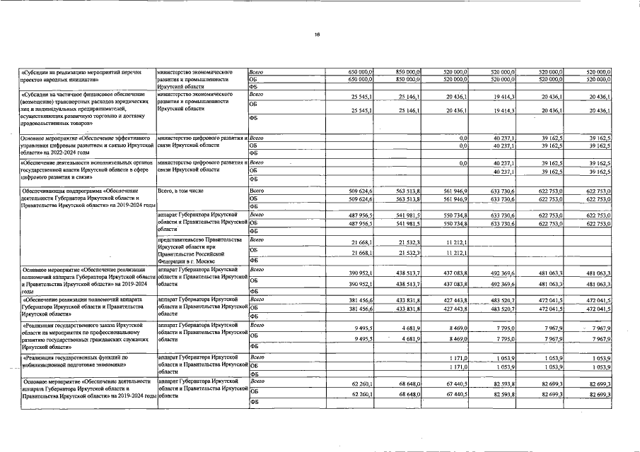
Постановление Правительства Иркутской области от 28.10.2021 № 793-пп
"О внесении изменений в государственную программу Иркутской области "Экономическое развитие и инновационная экономика" на 2019 – 2024 годы"
Номер опубликования: 3800202110290010
Дата опубликования: 29.10.2021
Страница №39 из 60:
Увеличить