Официальное опубликование правовых актов
ОФИЦИАЛЬНОЕ ОПУБЛИКОВАНИЕ
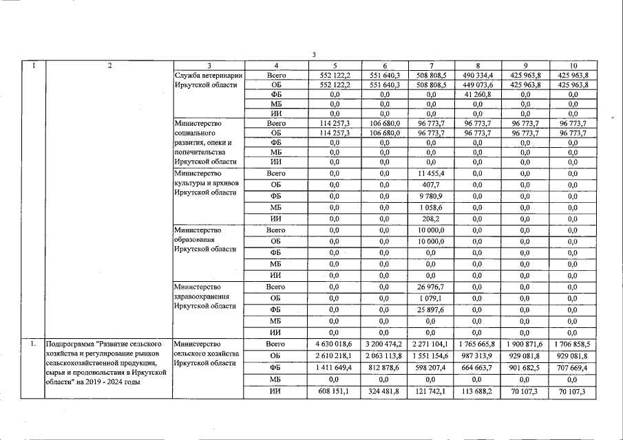
Постановление Правительства Иркутской области от 22.09.2021 № 677-пп
"О внесении изменений в государственную программу Иркутской области "Развитие сельского хозяйства и регулирование рынков сельскохозяйственной продукции, сырья и продовольствия" на 2019 - 2024 годы"
Номер опубликования: 3800202109290004
Дата опубликования: 29.09.2021
Страница №120 из 167:
Увеличить